很多细胞培养实验人员发现,培养箱在高湿条件下容易产生冷凝水,冷凝水的产生如果不受控制,会越积越多,给细胞培养带来了一定感染细菌的风险。那么,培养箱中冷凝水的产生是不是因为相对湿度太高了呢?
我们在使用二氧化碳培养箱培养细胞时,由于加液量和培养周期的差异,导致我们对于培养箱中的相对湿度要求高低不一。
对于使用96孔细胞培养板且培养周期较长的实验,由于单孔加液量少,培养液在37 ℃条件下长时间蒸发有风干的风险。培养箱中较高的相对湿度,比如达到90%以上,可以有效地减少液体的挥发,
但是,新的问题又出现了,很多细胞培养实验人员发现,培养箱在高湿条件下容易产生冷凝水,冷凝水的产生如果不受控制,会越积越多,给细胞培养带来了一定感染细菌的风险。
那么,培养箱中冷凝水的产生是不是因为相对湿度太高了呢?
首先,我们要了解一下相对湿度的概念。
相对湿度(Relative Humidity, RH)
是指空气中水蒸气的实际含量与同温度下饱和状态时水蒸气含量的百分比。

e是空气中实际水蒸气压 e8是同温度下饱和水蒸气压
具体来说:
0% 相对湿度 | 空气中没有水蒸气 |
100% 相对湿度 | 空气中水蒸气达到了饱和状态,无法再容纳更多水蒸气,会出现凝结现象 |
50% 相对湿度 | 当前空气中的水蒸气量是该温度下饱和水蒸气量的一半。如果温度为37°C,那么37°C下饱和水蒸气压约为6.27 kPa。因此,50% 相对湿度下的水蒸气压约为3.135 kPa |
弄清楚了相对湿度,我们再来了解一下饱和水蒸气压。
饱和水蒸气压
是指在一定温度下,液态水和其蒸汽处于动态平衡状态时,蒸汽在气相中产生的压力。具体来说,当水蒸气与液态水在一个封闭系统(比如密闭性较好的润度二氧化碳培养箱)中共存时,随着时间的推移,水分子会不断地从液态变为气态(蒸发),同时也有气态的水分子会不断地变为液态(凝结)。在某一时刻,蒸发和凝结的速率相等,这时的蒸气压就是饱和水蒸气压。其特点为:
动态平衡 | 当水和水蒸气在封闭系统中共存时,蒸发和凝结达到平衡,系统中水蒸气的压强不再变化,此时的压强即为饱和水蒸气压 |
温度依赖性 | 饱和水蒸气压随温度变化。当温度升高时,水分子的动能增加,更多的水分子能够逃逸到气相中,因此饱和水气压增加。反之,当温度降低时,饱和水气压减少 |
特性 | 饱和水气压是一个纯物质的特性参数,不依赖于液体的量,只与温度有关
|
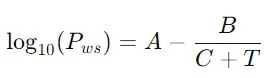
常见的用于计算饱和水气压的公式是安托万方程:

Pws是饱和水汽压 T是温度 A,B,C是特定物质的常数
A=8.07131 B=1730.63 C=233.426 这组常数适用于 1°C 到 100°C 的温度范围。 |
我们可以使用这些常数来计算出在 37°C 时的饱和水气压为 6.27 kPa。
那么,在37摄氏度(℃)的温度下,饱和水气压状态下,空气中的水含量有多少呢?
要计算饱和水蒸气的质量含量(绝对湿度),我们可以使用克劳修斯-克拉佩龙方程公式进行计算:

MW是水的摩尔质量,约为18.01528 g/mol
PW8是饱和水汽压(Pa)
R是通用气体常数,约为8.314 J/(molK)
饱和水气压: 在37℃时,饱和水汽压为 6.27 kPa
将温度转换为开尔文:T=37+273.15=310.15 K
代入公式计算:

在37℃时,饱和状态下的水蒸气含量(绝对湿度)约为44.6 g/m³。这意味着每立方米的空气可以容纳44.6克的水蒸气。一台180L的二氧化碳培养箱,也就可以容纳大约8克的水蒸气。当增湿盘以及培养容器装满液体时,相对湿度很容易达到较高值,甚至接近饱和湿度值。当相对湿度达到100%时,水蒸气开始凝结。此时,空气中的水蒸气量达到其在当前温度下所能容纳的最大值,即饱和状态。进一步增加水蒸气或降低温度都会导致水蒸气凝结成液态水。当相对湿度超过95%时,也有可能出现冷凝,但这取决于其他因素,如温度、空气中的水蒸气量以及表面温度等。
这些影响因素如下:
温度降低
| 当空气中的水蒸气量接近饱和状态时,任何微小的温度降低或增加的水蒸气量都可能导致冷凝现象的发生。比如说培养箱中温度的波动就有可能导致产生冷凝水,因此温度更为稳定的培养箱对冷凝水的产生会有抑制作用。
|
局部表面温度低于露点温度 | 局部的表面温度如果低于露点温度,水蒸气会在这些表面上会凝结成水滴,所以温度均匀性较好的培养箱在抑制冷凝水上会有更好的表现 |
增加的水蒸气 | 比如增湿盘以及培养容器的液体量较大,而培养箱的密闭性又较高时,当培养箱内空气中的水蒸气量增加到超出其在当前温度下的最大容纳量时,即使温度不变,也会产生冷凝水
|
因此,一台温度控制较好的二氧化碳培养箱对于冷凝水的产生显然具有抑制作用,但是,当相对湿度超过95%甚至是达到饱和时,冷凝的可能性会显著增加,因此,我们在培养细胞时,除了要选择一台好的二氧化碳培养箱外,应尽量避免追求高湿度所带来的冷凝风险。